Previous Next
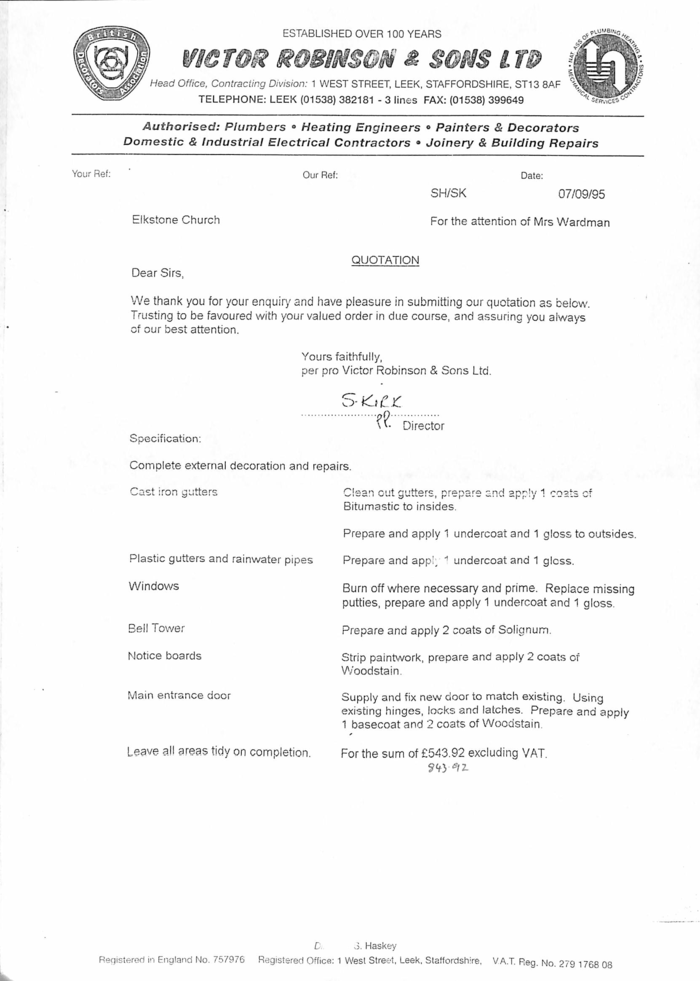
Title: Church Repairs
Description: Quotation for decorating the church, following repairs, from Victor Robinson
07 Sep 1995
returnimage.cgi/16571/700
Credit: S.Kirk, Victor Robinson & Sons
Item: Financial Paperwork